Polixetonium Chloride
opis proizvoda
Poliksetonijum hlorid djeluje tako što razbija ćelijske membrane mikroorganizama, što dovodi do njihove inaktivacije. Njegova antimikrobna aktivnost širokog spektra čini ga popularnim izborom za osiguravanje mikrobne stabilnosti proizvoda, produženje njihovog roka trajanja i smanjenje rizika od kontaminacije. Također se koristi kao algicid, vrlo je efikasan boicid širokog spektra za tretman industrijskih sistema za hlađenje vode, ispirača zraka i komercijalnih bazena.
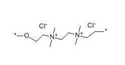
Njegovi aliasi su Poli(oksietilen (dimetiliminio)etilen-(dimetiliminio) etilen diklorid), Busan 77, Mbc 115, BL 2142,Bualta i Bubond 60. Njegov CAS broj je 31512-74-0. Molekularna formula je (C10H24N2O)n•Kl2.
Formula strukture

Specifikacija proizvoda
|
Fizički opis |
Svijetlo smeđa prozirna viskozna tekućina |
|
Sadržaj čvrste materije,% |
Veće ili jednako 59.0 |
|
pH vrijednost |
6.0 – 8.0 |
|
Gustina,g/cm3 |
1.10-1.20 |
Primjena proizvoda
Za razliku od konvencionalnih kvaternarnih amonijumovih soli, ovaj proizvod ne proizvodi mjehuriće čak ni pri visokim koncentracijama i ne utiče na korištenje pijeska, dijatomejske zemlje ili drugih vrsta filtera. Ne pjeni, nije toksičan, ne iritira, stabilan je i siguran za upotrebu, što ga čini idealnim sredstvom za bazene, banje, pejzažne vodene objekte i druga mjesta.
Paket i skladištenje proizvoda
(1) 220 kg po PE bubnju ili 1100 kg po IBC.
(2) Pakujte i čuvajte proizvod u zatvorenom, hladnom i suhom stanju i izbjegavajte kontakt sa jakim oksidansima.
(3) Rok važenja: dvije godine.
Popularni tagovi: poliksetonijum hlorid, Kina proizvođači, dobavljači, fabrika poliksetonijum hlorida, катионлы полимер өсөн чипсы, телескоптар өсөн катионлы полимер, катионлы полимер өсөн бәпес салфеткалар, катионлы полимер балалар продукцияһы өсөн, катионлы полимер композиттарҙағы тултырғыс өсөн, микроскоптар өсөн катионлы полимер

